数列极限的求法:
1、如果代入后,得到一个具体的数字,就是极限。
2、如果代入后,得到的是无穷大,答案就是极限不存在。
3、如果代入后,无法确定是具体数或是无穷大,就是不定式类型,
4、计算极限,就是计算趋势 tendency。
存在条件:
单调有界定理 在实数系中,单调有界数列必有极限。
致密性定理,任何有界数列必有收敛的子列。
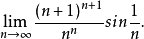
计算方法,参考下面图片:

数列的极限问题是我们学习的一个比较重要的部分,同时,极限的理论也是高等数学的基础之一。数列极限的问题作为微积分的基础概念,其建立与产生对微积分的理论有着重要的意义。
极限:

解题思路:

参考资料:百度百科-数列极限
