酷问十五

  • 网站首页
  • 百科知识
  • 百科问答
  • 生活百科
位置:首页> 生活百科>

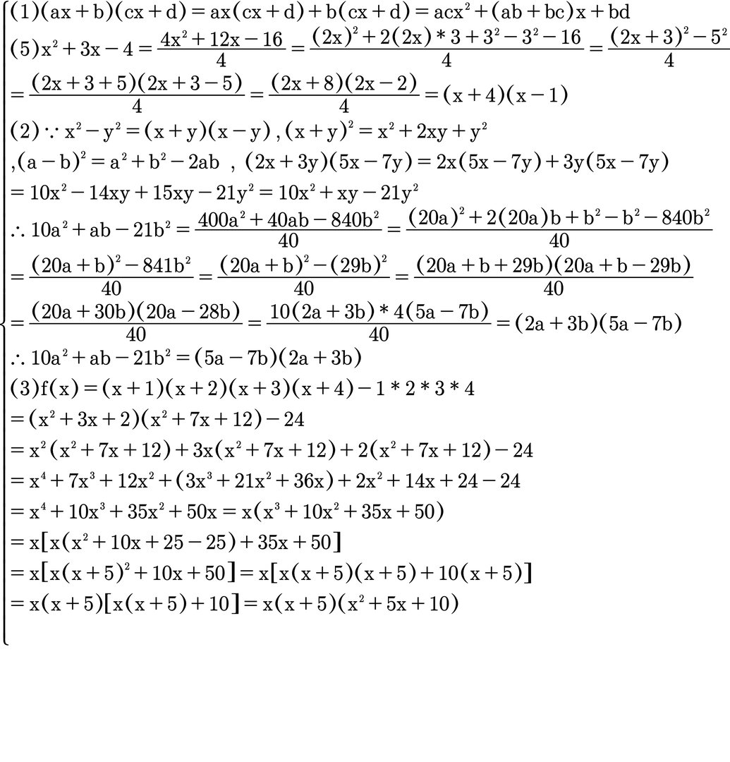
给我来几道数学因式分解的难题,超难的越难越好的,

时间:2026-04-08 17:47:00 浏览:836次

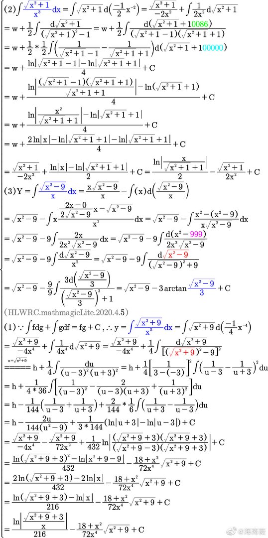
不定积分结果不唯一求导验证应该能够提高凑微分的计算能力。。

给我来几道数学因式分解的难题,超难的越难越好的,

给我来几道数学因式分解的难题,超难的越难越好的,

给我来几道数学因式分解的难题,超难的越难越好的,

给我来几道数学因式分解的难题,超难的越难越好的,

标签:因式分解,超难,几道

相关文章

几道简单的数学题

几道简单的数学题

因式分解有哪几种方法?

因式分解有哪几种方法?

热门文章

  • 小赢钱包信用卡靠谱吗?从这三个方面可以得出结论!

    小赢钱包信用卡靠谱吗?从这三个方面可以得出结论!

    03-18 1593次
  • 求几部以日本忍者为主题的电影,要真人版的

    求几部以日本忍者为主题的电影,要真人版的

    03-27 1273次
  • 俭字能组什么词?

    俭字能组什么词?

    12-21 1253次
  • 三国志11攻略

    三国志11攻略

    12-21 1223次
  • 帝国全面战争普鲁士怎么开局

    帝国全面战争普鲁士怎么开局

    12-25 1191次
  • 关于武昌火车站以及网上买票的问题。

    关于武昌火车站以及网上买票的问题。

    10-26 1182次

推荐文章

翩组词(要两个,而且要两个字的词)

翩组词(要两个,而且要两个字的词)

高的笔顺

高的笔顺

韩红的所有歌曲??

韩红的所有歌曲??

手指关节肿大怎么办?

手指关节肿大怎么办?

简述机械化施工的特点?

简述机械化施工的特点?

化学:什么是电泳实验

化学:什么是电泳实验

香港红van与绿van的区别

香港红van与绿van的区别

脑瘤的症状有什么

脑瘤的症状有什么

电子表格里所有的函数公式?

电子表格里所有的函数公式?

城市管理学专业

城市管理学专业

酷问十五,汇聚亿万网民头脑中的智慧、经验和知识,为用户提供发表提问、解答问题、搜索答案、资料查询、词条分享等全方位知识共享服务。

CopyRight © 2025 网站地图 - 闽ICP备2025090153号-9 - 联系邮箱:1465333496@qq.com