常用的半角公式包括以下三个:
1、半角正弦公式:

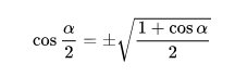
2、半角余弦公式:

3、半角正切公式:

半角公式是利用某个角(如∠A)的正弦值、余弦值、正切值,及其他三角函数值,来求其半角的正弦值,余弦值,正切值,及其他三角函数值的公式。
sin(A/2)=√((1-cosA)/2)
sin(A/2)=-√((1-cosA)/2)
cos(A/2)=√((1+cosA)/2)
cos(A/2)=-√((1+cosA)/2)
tan(A/2)=√((1-cosA)/((1+cosA))
tan(A/2)=-√((1-cosA)/((1+cosA))
扩展资料:
由和角公式可得:

1、半角正弦公式:

2、半角余弦公式:

