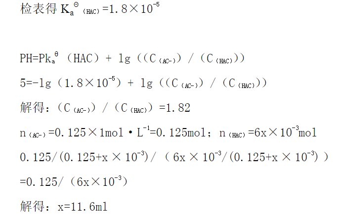
第一题:


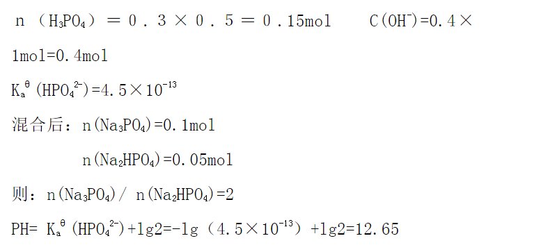
第二题:


第三题:




这部分内容主要考察的是解离常数的知识点:
水溶液中具有一定解离度的溶质的极性参数。解离常数给予分子的酸性或碱性以定量的量度,Ka增大,对于质子给予体来说,其酸性增加;Ka减小,对于质子接受体来说,其碱性增加。
pKa是一种特定类型的平衡常数。解离常数pKa是Ka的负对数。Ka越大,pKa越小。pH=pK+lg(电子受体/电子供体)
为了克服物质在纯水中难溶而难以测定其解离常数的问题,可以采用有机溶剂与水的混合溶剂来代替纯水,通过测定物质在不同体积比的有机溶剂和水的混合溶剂中的解离常数,再应用一定的数学方法来得到在纯水中的解离常数。
溶液的离子强度会影响物质在水中的解离。因此在测定某些物质在水中的解离常数时需要考虑物质水溶液的离子强度的影响。采用电位滴定法测定物质解离常数时要注意数据处理的技巧,因为选择适当的数据处理方法能给实验数据的处理带来很大的方便,节省大量时间,同时能够提高数据的准确度。
电位滴定法最大的缺点是难以测定低溶解度物质的解离常数,但是其操作简单,部分实验只需几组数据就能得出结果,可运用科学的数理方法和图像来处理pH滴定数据,结果准确。因此,电位滴定法在测量物质解离常数方面得到了最广泛的应用。
