泰勒中值定理,是高等数学中的一项定理。
函数介绍
如果函数
在含有
的某个开区间
内具有直到
阶的导数,且在闭区间
上连续,则对任的
,至少存在一点
介于
与
之间,使得
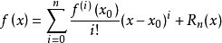
阶泰勒公式

成立,
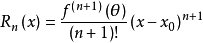
其中
(拉格朗日型余项)或
(佩亚诺型余项)。
当
时,即为拉格朗日中值定理;当
时,称为麦克劳林公式。
泰勒中值定理,是高等数学中的一项定理。
函数介绍
如果函数
在含有
的某个开区间
内具有直到
阶的导数,且在闭区间
上连续,则对任的
,至少存在一点
介于
与
之间,使得
阶泰勒公式

成立,
其中
(拉格朗日型余项)或
(佩亚诺型余项)。
当
时,即为拉格朗日中值定理;当
时,称为麦克劳林公式。