【Q检验法】
Q检验法又叫做舍弃商法,是迪克森(W.J.Dixon)在1951年专为分析化学中少量观测次数(n<10)提出的一种简易判据式。
按以下步骤来确定可疑值的取舍:
(1)将各数据按递增顺数排列:X1,X2,X3,…,Xn-1,Xn。
(2)求出最大值与最小值的差值(极差)Xmax-Xmin.
(3)求出可疑值与其最相邻数据之间的差值的绝对值。
(4)求出Q(Q等于(3)中的差值除以(2)中的极差)。
(5)根据测定次数n和要求的置信水平(如95%)查表(见下)得到值
(6)判断:若计算Q>Q表,则舍去可疑值,否则应予保留。

【F检验法】
F检验法是英国统计学家Fisher提出的,主要通过比较两组数据的方差S2,以确定他们的精密度是否有显著性差异。至于两组数据之间是否存在系统误差,则在进行F检验并确定它们的精密度没有显著性差异之后,再进行t 检验。
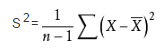
样本标准偏差的平方,即:

两组数据就能得到两个S²值,

由表中f大和f小(f为自由度n-1),查得F表,
然后计算的F值与查表得到的F表值比较,如果
F < F表 表明两组数据没有显著差异;
F ≥ F表 表明两组数据存在显著差异。
【T检验法】
T检验法,亦称student t检验(Student's t test),主要用于样本含量较小(例如n<30),总体标准差σ未知的正态分布资料。
t检验是用t分布理论来推论差异发生的概率,从而比较两个平均数的差异是否显著。它与f检验、卡方检验并列。t检验是戈斯特为了观测酿酒质量而发明的。戈斯特在位于都柏林的健力士酿酒厂担任统计学家,基于Claude Guinness聘用从牛津大学和剑桥大学出来的最好的毕业生以将生物化学及统计学应用到健力士工业程序的创新政策。戈斯特于1908年在Biometrika上公布t检验,但因其老板认为其为商业机密而被迫使用笔名(学生)。实际上,跟他合作过的统计学家是知道“学生”的真实身份是戈斯特的。
