1、a^log(a)(b)=b
2、log(a)(a)=1
3、log(a)(MN)=log(a)(M)+log(a)(N);
4、log(a)(M÷N)=log(a)(M)-log(a)(N);
5、log(a)(M^n)=nlog(a)(M)
6、log(a)[M^(1/n)]=log(a)(M)/n
扩展资料:
一般地,对数函数以幂(真数)为自变量,指数为因变量,底数为常量的函数。
对数函数是6类基本初等函数之一。其中对数的定义:
如果ax=N(a>0,且a≠1),那么数x叫做以a为底N的对数,记作x=logaN,读作以a为底N的对数,其中a叫做对数的底数,N叫做真数。
一般地,函数y=logax(a>0,且a≠1)叫做对数函数,也就是说以幂(真数)为自变量,指数为因变量,底数为常量的函数,叫对数函数。
其中x是自变量,函数的定义域是(0,+∞),即x>0。它实际上就是指数函数的反函数,可表示为x=ay。因此指数函数里对于a的规定,同样适用于对数函数。
有理和无理指数
如果
是正整数,
表示等于
的
个因子的加减:
但是,如果是
不等于1的正实数,这个定义可以扩展到在一个域中的任何实数
(参见幂)。类似的,对数函数可以定义于任何正实数。对于不等于1的每个正底数
,有一个对数函数和一个指数函数,它们互为反函数。
对数可以简化乘法运算为加法,除法为减法,幂运算为乘法,根运算为除法。所以,在发明电子计算机之前,对数对进行冗长的数值运算是很有用的,它们广泛的用于天文、工程、航海和测绘等领域中。它们有重要的数学性质而在今天仍在广泛使用中。
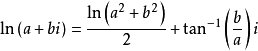
复对数
复对数计算公式
复数的自然对数,实部等于复数的模的自然对数,虚部等于复数的辐角。

