酷问十五

  • 网站首页
  • 百科知识
  • 百科问答
  • 生活百科
位置:首页> 百科知识>

特征多项式是啥

时间:2025-11-01 20:22:00 浏览:854次

特征多项式是啥

对于求解线性递推数列,我们还经常使用生成函数法,而对于常系数线性递推数列,其生成函数是一个有理分式,其分母即特征多项式。为n*n的矩阵A的特征多项式为|A-λE|,其中E为n*n的单位矩阵。

标签:多项式,特征

相关文章

特征多项式怎么求?

特征多项式怎么求?

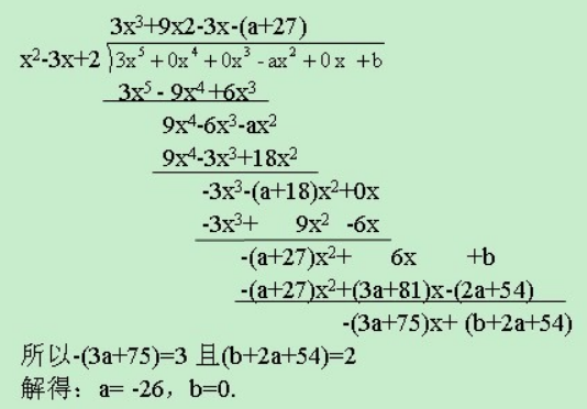
多项式长除法是怎么算的?原理是什么?我看长除法的过程都看不懂。

多项式长除法是怎么算的?原理是什么?我看长除法的过程都看不懂。

热门文章

  • 堀北真希主演的电视剧或电影有哪些?求全的!!!!

    堀北真希主演的电视剧或电影有哪些?求全的!!!!

    12-25 1187次
  • 半宝石是天然的水晶吗?

    半宝石是天然的水晶吗?

    10-25 1159次
  • serendipity翻译中文是什么意思?

    serendipity翻译中文是什么意思?

    02-01 1157次
  • 完美SF古叶挂怎么调秒人!

    完美SF古叶挂怎么调秒人!

    10-25 1157次
  • 华润万家超市官方网站

    华润万家超市官方网站

    10-25 1156次
  • 笑里藏刀指什么生肖?

    笑里藏刀指什么生肖?

    11-13 1155次

推荐文章

教师的专业发展是什么?

教师的专业发展是什么?

相还可以组什么词

相还可以组什么词

俄罗斯与乌克兰为何会开战?战争什么时候可以结束呢?

俄罗斯与乌克兰为何会开战?战争什么时候可以结束呢?

预备役是什么

预备役是什么

〔急〕“圣地”与“胜地”意思和用法有什么区别?

〔急〕“圣地”与“胜地”意思和用法有什么区别?

smz是什么意思?

smz是什么意思?

涓涓细流的意思

涓涓细流的意思

林强的介绍

林强的介绍

“有花堪折直须折,莫待无花空折枝”是什么意思

“有花堪折直须折,莫待无花空折枝”是什么意思

克隆技术的好处和危害是什么?

克隆技术的好处和危害是什么?

酷问十五,汇聚亿万网民头脑中的智慧、经验和知识,为用户提供发表提问、解答问题、搜索答案、资料查询、词条分享等全方位知识共享服务。

CopyRight © 2025 网站地图 - 闽ICP备2025090153号-9 - 联系邮箱:1465333496@qq.com