工作原理:
开机瞬间产生的电扰动经三极管V组成的放大器放大,然后由LC选频回路从众多的频率中选出谐振频率F0。并通过线圈L1和L2之间的互感耦合把信号反馈至三极管基极。
设基极的瞬间电压极性为正,经倒相集电压瞬时极性为负,按变压器同名端的符号可以看出,L2的上端电压极性为负,反馈回基极的电压极性为正,满足相位平衡条件。
偏离F0的其它频率的信号因为附加相移而不满足相位平衡条件,只要三极管电流放大系数B和L1与L2的匝数比合适,满足振幅条件,就能产生频率F0的振荡信号。

扩展资料:
LC振荡电路的时域解
基尔霍夫定律
以LC并联电路为例,电容两端的电压VC等于电感两端的电压VL:
流入电容的电流等于流出电感的电流:
从电路元件的本构关系可知
并且
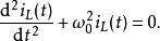
微分方程
调换顺序并进行代换得到二阶微分方程

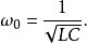
参数 ω0,谐振角频率定义为:

利用这个可以简化微分方程

相关的多项式是

因此,

或者说

其中j为虚数单位。
参考资料:百度百科-LC振荡电路
